blog[小野一雄のルーツ]改訂版
< アングロ・サクソン國家のたそがれ《宮澤俊義》【改造】新年號[大東亞戰爭]2602
《伊東深水画集より》「わたしの親元」S様の作品 >
2020年12月16日
05:25
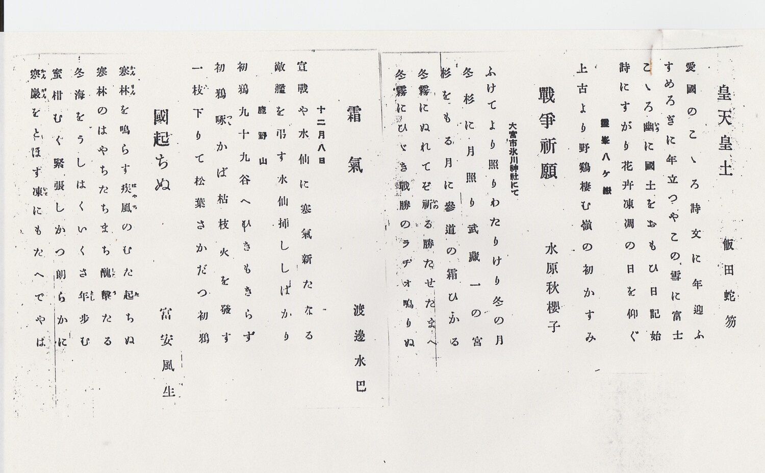
皇天皇土 飯田蛇笏・戰爭祈願 水原秋櫻子・霜氣 渡邊水巴・國起ちぬ 富安風生「改造」(昭和17年新年号)
カテゴリ
◆小野一雄
松栢
Comment(0)
皇天皇土 飯田蛇笏・戰爭祈願 水原秋櫻子・
霜 氣 渡邊水巴・國起ちぬ 富安風生
「改造」(昭和17年新年号)
「改造」(17年新年号)
水原 秋桜子 「戦争祈願」(俳句)
飯田 蛇笏 「皇天皇土」(俳句)
渡辺 水邑 「霜 気」(俳句)
※渡辺水巴
富安 風生 「国起ちぬ」(俳句)
〔画像〕p1「改造」(17年新年号)
皇天皇土 飯田蛇笏
戰爭祈願 水原秋櫻子
霜 氣 渡邊水巴
國起ちぬ 富安風生
〔画像〕p2「改造」(17年新年号)
◇◇◇◇◇◇◇◇◇◇◇◇◇◇◇◇◇◇◇◇◇◇◇◇◇
「◆小野一雄」カテゴリの最新記事
「松栢」カテゴリの最新記事
コメントする
名前
情報を記憶
評価
--
1(最低)
2
3
4
5(最高)
顔
星
< アングロ・サクソン國家のたそがれ《宮澤俊義》【改造】新年號[大東亞戰爭]2602
《伊東深水画集より》「わたしの親元」S様の作品 >
リンク集
X[Twitter] 小野一雄
blog[小野一雄のルーツ]満州編
blog[小野一雄のルーツ]バスケットボール編
BLOG[環境経営と組織]別府祐弘
記事検索
最新記事
[足立道五郎先生] 九江会の結成[昭和58年(1983)]五月伊豆長岡で第一回総会【流転の青春:中国人民解放戦争従軍記】1986
[足立道五郎先生] 祖国の風は冷たかった【流転の青春:中国人民解放戦争従軍記】1986
[足立道五郎先生] 九江第六陸軍病院との別れ【流転の青春:中国人民解放戦争従軍記】1986
[足立道五郎先生] 九江第六陸軍病院【流転の青春:中国人民解放戦争従軍記】1986
《藪本花子=吉田花子:船井郡須知町》令兄《藪本唯男》【日本医事年鑑 昭12年度版】【日本醫籍録 昭和15年版】
《藤岡真知子》note花子《吉田花子先生》桜子先生6二つの知識
《藤岡真知子》note花子《吉田花子先生》桜子先生2田舎
《藤岡真知子》note花子《吉田花子先生》桜子先生1試験
[足立道五郎先生] 日本人の援朝参戦回避【流転の青春:中国人民解放戦争従軍記】1986
【所信表明を見える化 1万人の関係人口】[山﨑眞宏]議員活動誌2026.1 No.17
カテゴリー
◆小野梓 (493)
小野梓家系譜 (10)
飛脚船「アメリカ号」関連 (23)
瀬谷小次郎:安藤小次郎:大関増勤 (31)
官僚時代 (10)
鳥海弘毅 (23)
小野潜蔵・小野義種 (4)
写真:小野梓・墨・安 (7)
桑原深造 (11)
小野梓:資料 (188)
斉藤一寛 早稲田大学名誉教授 (5)
小野梓先生七十周年記念祭:昭和30年11月 (3)
小野梓87回忌法要:昭和47年10月 (5)
小野梓生誕150周年:平成14年3月10日 (9)
小野梓先生122回忌法要:平成19年3月10日 (10)
早稲田大学創立125周年記念:平成19年10月 (57)
大江卓 (33)
大江暹:大江卓の實弟 (5)
坂本 鼎 (12)
小野梓君碑:中村正直譔 (3)
小野梓先生の憶ひ出:前橋孝義 (3)
伊藤勲教授(上智大学法学部) (3)
Sandra T.W.Davis (5)
大関文書 御願届留録 (2)
《小野すみ》小野墨・松村墨 (9)
壬午銀行 (11)
【小野梓】永田新之允 (4)
小野梓全集 (7)
◆小野一雄 (474)
小野一雄のプロフィール (66)
バスケットボール (48)
小野雄二・コメント (10)
小野雄二[大連:小川清秀邸] (8)
台湾レポート①~⑳小野雄二 (23)
小野雄二『日本との縁の地(高雄・台南・亜里山・台北篇)』 (9)
小野雄二[台湾の歴史:許文龍] (19)
思い出の写真帖 (136)
原安三郎 (6)
鳥獣撃退器『UP169』 (3)
坂本恭啓(公文牛松:坂本牛松) (47)
吉雄蔵六・養正・正安・敦・菊瀕 (8)
松風嘉定・憲二・幸造 (17)
健康優良児 (7)
満州引揚 (17)
松栢 (26)
◆小野喜代子 (249)
加悦谷服飾学院 (9)
我が家の花木 (53)
尾上志げ乃・森本ひろ乃・山下ふさゑ (28)
尾上家の写真帖 (48)
雲原村:尾上良一 (37)
我が家から見た雪景色 (11)
尾上志げ乃:写真帖 (48)
◆別府祐弘 (100)
BLOG[環境経営と組織]別府祐弘 (4)
心の力と学風:成蹊大学・別府祐弘名誉教授 (11)
[小野梓君碑と大久保麑山先生紀念碑] (7)
大久保麑山 (14)
大久保麑山:学校長 (25)
中村正直 (5)
『橋畔随想:ノーベル経済学賞』 (4)
[E.ソロモン:財務管理論]別府祐弘 訳 (6)
「ノーベル経済学賞」(注1)① (4)
「ノーベル経済学賞」(注1)② (5)
「ノーベル経済学賞」(注1)③ (4)
「ノーベル経済学賞」(注2) (6)
「ノーベル経済学賞」(注3) (3)
「ノーベル経済学賞」(注4) (2)
◆大久保麑山:家系 (109)
大久保系圖:原本 (13)
大久保系圖:転記 (13)
中津城下大繪図 (4)
中津藩黒原出陣隊列表 (3)
大久保慎二 (18)
大久保謙治:大久保麑山の孫 (15)
麑山の二女 ナヲの夫:加来宇三郎 (1)
麑山の三女 ミツ子の夫:本多文三郎 (12)
大久保逕三の五女の夫[脇屋正人] (10)
野本雪巖:野本白巌(眞城) (5)
野本雪厳真城狷庵三先生遺稿 (8)
◆別府家系図:豊前市三毛門 (35)
別府家系図:原本 (12)
別府家系図:転記 (9)
別府家系図:個人別 (12)
◆別府又十郎家:築上郡三毛門村 (141)
別府一九郎(又十郎の父) (4)
別府又十郎 (23)
別府敏治 (5)
別府三穂三郎 (53)
[別府醇・伊藤醇]別府又十郎の四男 (14)
別府賢吉 (19)
別府祐六 (9)
別府ウラ(渡邊ウラ)渡邊哲信の妻 (3)
尾家實藏・尾家悅藏 (5)
梅高秀山・筧喜十郎 (5)
恒遠塾遊學者 (1)
◆別府祐弘[大河内傳次郎の青春] (49)
大河内傳次郎の青春 (4)
大邊 男(マスオ):大河内傳次郎 (4)
大邊晋:大河内傳次郎の父 (1)
後藤英輔 (16)
『思い出のプログラム』新京極篇:昭和55年 (17)
◆病院 (70)
シミズ病院グループ (10)
京丹波町病院 (12)
明治国際医療大学 (8)
京都中部総合医療センター (7)
福知山市民病院 (18)
セブランス聯合医学専門学校 (8)
看護婦 (6)
◆我が家の犬と猫達 (45)
犬・チワワ (15)
猫 (30)
◆明治時代の女医 (198)
[明治時代の女医:250名]全11頁 (12)
[日本女医会雑誌]第25号:大正14年 (4)
[日本女医会雑誌]第33号:昭和3年 (6)
[日本女医会雑誌]第73号:昭和11年 (4)
[日本女医会雑誌]第77号:昭和12年 (5)
[日本女医会雑誌]第79号:昭和12年 (1)
[日本女医会雑誌]第80号:昭和12年 (4)
[明治時代の女医:250名]:≪書籍別・資料≫ (30)
個人別・資料 (104)
油川信近:油川太嘉子の父 (4)
今村ケイ:前島ケイ (14)
幣原 節・幣原 操 (8)
◆[本官勘合帳 外国官一号]原本 (13)
◆転記[本官勘合帳 外国官一号]原本コピーから (3)
◆[航海人明細鑑3]原本 (6)
◆小野義真 (203)
向島八洲園・小松島 (42)
陶製《五百羅漢》浅草公園 (14)
紅葉館 (5)
小野英之助 (7)
小野鶴太郎 (17)
日本鉄道株式会社 (5)
小野十三郎・小野十五郎[福地悟朗] (40)
立田義元 (7)
小野義真:資料 (65)
◆松村仙造(眞澄) (279)
略歴:松村仙造 (30)
島根縣立第一尋常中學校 (29)
第五高等学校 (7)
東京帝国大学法科 (6)
京都帝国大学法科 (8)
藤本ビルブローカー銀行 (11)
保熱板製造株式会社 (7)
摂津硝子株式会社 (6)
関西電気化学株式会社 (7)
宗教法人大本 (75)
横尾敬義:横尾尚 (17)
松村一造・正子 (23)
資料・島根県 (20)
木村鋭市 (13)
松村久之助(勝部本右衛門四男) (14)
◆泉谷祐勝 (23)
◆伊賀とら(登良) (104)
大本教関連 (20)
宗十郎町 (3)
【昭和之日本:御大典記念】 (5)
女髪結 (55)
【婦女界】 (7)
下山京子 (8)
◆松村守一 (34)
松村 ヒサ(久子) (2)
神戸高等商業学校 (6)
川崎重工業 (13)
第一銀行 (4)
佐田家年 (9)
◆小野安子 (43)
[巨人の面影] (2)
吉弘茂義(吉弘白眼) (8)
《助産之栞》 (19)
松村謙三 (2)
◆小野又一 (344)
綾部・精道第一尋常高等小学校 (2)
第三高等学校 (17)
京都大学工学部 (19)
東京大学 航空学科 昭和14年3月卒業 (10)
陸軍技術将校 (11)
陸軍航空兵科技術候補生 (3)
満州飛行機製造株式会社 (100)
[満洲飛行機の思い出]昭和57年 (23)
[追憶の曠野]小西達四郎 (20)
満洲飛行機製造株式会社調査資料 (22)
関東軍第六勤務隊部隊資料 (3)
満洲航空株式会社 (11)
東洋ミネチュアベアリング (11)
ノートルダム女学院 (37)
小野栄一郎 (14)
菱川正武 (3)
富永哲夫・富永五郎 (9)
[大奉天市事情総覧]昭和11年 (4)
山尾安史 (15)
◆小野文子 (52)
略歴:小野文子 (8)
大連常盤小学校 (5)
大連彌生高等女学校 (20)
京都女子高等専門学校:昭和16年:卒業記念アルバム (15)
◆小川清秀 (119)
イギリス人[ジョージ・ノット] (35)
小川清秀:履歴書 (13)
小川梅子 (6)
小川清久・小川清澄 (12)
大連税関 (12)
大連市光風台 (15)
大連高等商業学校 (26)
◆京橋区宗十郎町 (32)
◆満州・蒙古・中華民国・ソ連 (820)
治安部:指紋管理局 (8)
【満洲国現勢. 康徳2年版】昭和10年 (12)
志賀俊夫 (14)
蒙古聯合自治政府官吏録 (7)
【満華職員録. 康徳9年・民国31年版】昭和16年発行 (14)
大連市内公共醫院 (13)
【滿洲寫眞帖. 昭和2年版】 (2)
醫療機關:滿洲國 (6)
『滿鐡及び鐡道總局經營醫院』 (11)
【満洲職員録.康徳8年度(昭和16年)】 (384)
[南滿洲ニ於ケル洋人經營ノ諸學校] (9)
在外日本人学校教育関係 (15)
上海:在外日本人学校 (6)
青島:在外日本人学校 (5)
天津:在外日本人学校 (6)
満州国緊急産業要員関係 (11)
【満支旅行年鑑. 昭和17年】 (8)
三浦環 (13)
◆柴田和志 (148)
バスケットボール (6)
[チャー坊遺稿集] (41)
<チャー坊(“村八分”)の生と死> (29)
[村八分ライブ:完全盤CD2枚組]解説 (7)
小野雄二 (6)
[ロック画報 05] (7)
[レコード・コレクターズ] (3)
資料:柴田和志 (44)
◆須知町安井航空研究所 (42)
安井荘次郎 (22)
民間・女流飛行機操縦士 (4)
安井榮之助(二男 安井莊次郎) (9)
◆京丹波町 (1391)
議会 (207)
人物 (196)
教育 (68)
高畑こと:十文字こと (21)
ウィード先生《J. A. Weed》 (45)
医師・歯科医師・看護師 (50)
銀行・会社 (34)
(株)ZTV (19)
商工 (130)
郵便局 (13)
[丹波町議会だより] (7)
梅原好範議員 (28)
山田均議員(前) (27)
東まさ子議員 (17)
森田幸子(前)松村英樹議員 (20)
山﨑裕二議員 (4)
隅山卓夫(前)谷口勝已議員 (21)
西山芳明議員 (12)
居谷知範議員 (17)
山﨑眞宏議員 (27)
畠中清司議員 (1)
伊藤康二議員 (3)
山内武夫議員(元) (10)
北尾潤議員(元) (18)
岩田恵一議員(元) (8)
篠塚信太郎議員(元) (37)
村山良夫議員(元) (26)
野口正利議員(元) (22)
議会選挙:平成29年・令和3年11月 (18)
町長選挙:平成29年・令和3年11月 (1)
畠中源一(京丹波町長) (24)
太田昇(前京丹波町長) (40)
新庁舎建設基本計画 (14)
[平和の礎]瑞穂町 (11)
[檜山村誌]平成5年 (26)
宮原成器 (19)
郷土誌「三ノ宮」 (40)
随想集『乃き志のぶ』杉村 伸 (2)
[畑中健二]『自決』 (5)
西岸寺所蔵文書 (13)
中台・富田村文書・丹波誌 (11)
北神圭朗 (17)
近藤一之進・近藤環・近藤亮太郎 (9)
谷暘卿 (51)
◆ホッケーの歴史 (13)
◆鍼灸・按摩・接骨 (21)
明治鍼灸学院 (5)
鍼灸醫 (16)
◆現代船井郡人物史 (35)
[現代船井郡人物史]目次 (6)
人物別 (29)
◆木口幸男・世木澤藤三郎 (68)
世木澤藤三郎氏について (9)
世木澤翁 記念帖 (18)
瀧野常吉 (5)
小北甚之助 (6)
田中敬造 (5)
資料・世木澤 (25)
◆今田由佳 (4)
◆大江美帆 (7)
◆友景 保邸の薔薇園 (38)
◆日本女子美髪学校:古田梅子:古田むめ (6)
◆暫定[本官勘合帳 外國官一号] (78)
校正前[本官勘合帳 外國官一号] (76)
◆与謝野町・京丹後市 (20)
◆台湾 (106)
[臺灣總督府國語學校] (16)
『臺北帝國大學』 (19)
臺灣總督府 (5)
謝達淋・陳杏村 (31)
【台南高等工業学校一覧】 (4)
官吏改姓名 (3)
◆朝鮮 (103)
京城医学専門学校 (9)
京城医学専門学校:看護婦養成所 (5)
【朝鮮総督府警察職員録】昭和18年 (3)
金顕忠 (11)
官吏創氏竝改名 (16)
平壌医学専門学校 (14)
大邱医学専門学校 (14)
妓生 (3)
◆『葦原雅亮集』 (50)
◆日本陸軍士官學校卒業 (24)
支那留學生表 (13)
支那留學生 略歴 (11)
◆日本海軍 支那留學生表 (4)
第一回~第四回:支那留学生 (4)
◆満州建国大学 (21)
【官報】 (5)
【建国大学要覧. 康徳8年度】昭和16年 (16)
◆『株主総会百人の侍』 (4)
◆朝日新聞社 (21)
【日本紳士録. 42版(昭和13年)】 (6)
◆【極東国際軍事裁判所判決】 (6)
◆水島銕也 (18)
◆【隠岐西郷町誌】大正10年 (7)
◆【岡山鏡】明治26年 (7)
◆宮津賢次郎 (8)
◆松方正義・正雄・義雄 (5)
◆白洲文平・長平 (4)
◆阿片 (27)
◆学校 (11)
◆【愛国運動現勢】 (40)
◆【産業経済資料】 (51)
◆【西京人物志】 (75)
◆今里廣記 (29)
◆南洋群島 (53)
◆京都府立園部中学校 (10)
◆移民 (24)
◆平田 勲 (5)
◆小林徳一郎・大野伴睦 (25)
◆伊藤博文・博邦・文吉・眞一 (16)
◆西原正則 (6)
◆【婦人宝鑑】 (11)
◆貢進舎生姓名簿 (11)
◆高田畊安 (11)
◆高田合資會社 (15)
◆【物部村誌梗概】平和姓 (3)
◆島根県仁多郡横田村 (34)
妹尾勇吉 (5)
◆手代木良策 (7)
◆手代木勝任:手代木直右衛門 (10)
◆【慶応義塾総覧. 明治41年】 (1)
◆鹿毛信盛 (5)
◆【東奥義塾一覧】 (4)
◆大音龍太郎 (6)
◆知縣事:判縣事:權判事試補 (5)
◆蕃地事務局職員録 (3)
◆【青森県師範学校一覧】 (9)
◆【大日本新聞販売総覧. 昭和2年版 下巻】 (7)
◆満州:哈爾濱・哈爾賓・ハルピン (86)
《剛崎虎雄:コワザキ トラヲ》 (46)
【哈爾浜案内. 昭和6年版】 (4)
【帝国商工信用録:分冊・昭和10年度版[満洲版]】 (8)
◆【同志社校友会便覧. 昭和3年用】 (6)
◆【弘前高等学校一覧】 (6)
◆【島根県松江病院一覧】 (17)
◆桑原戒平 (12)
◆桑原平八 (7)
◆医師免状【全国医師薬舗産婆一覧】 (26)
◆京都府立医学専門学校 (16)
京都府立医学専門学校 看護婦・産婆教習所 (2)
◆【沖縄人事興信録】昭和4年 (8)
◆府立 大阪醫學校 (2)
◆【大阪回生病院沿革史】大正13年 (2)
◆産婆免状 (19)
◆薬舗免状 (5)
◆朝鮮・元山《大崎淳吉》 (13)
◆横濱婦人慈善會病院 (30)
◆《中村春二》[父 中村秋香:弟 中村第三] (4)
◆[坪内國子] (8)
◆《坪内みさを=雲井浪子》 (2)
◆香具師 (5)
◆【日本政治年報. 昭和17年】 (20)
◆安部十二造 (4)
◆大谷光瑩 (8)
◆【女子学習院一覧】 (4)
◆児玉誉士夫・鳩山一郎・砂田重政・河野一郎 (57)
◆【東京女子高等師範学校一覧】 (12)
◆【社団法人茨木打球会社員名簿. 昭和18年】 (19)
◆青森縣北津輕郡七和村 (5)
◆【荏原繁昌記】明治33年 (11)
◆京都新聞 (5)
◆《小川(金+冉)吉》〔おがわ ぜんきち〕 (13)
◆愛知英語学校 (5)
◆[寫眞週報] (11)
◆[龍南會雜誌]第五高等学校 (20)
◆【東京商科大学卒業生名簿】 (11)
◆[古川栄一先生の自筆ノート] (4)
◆林武一 (22)
◆《中島有恒》 (10)
◆[杉原千畝] (4)
◆【満洲建設烈士遺芳録】昭和17年 (9)
◆《柿沼竹雄》 (4)
◆[上海 在留 日本人 營業案内] (12)
◆《大瀧新之助:古海忠之の実父》 (11)
◆《古海忠之》 (5)
◆《鹿島清兵衛》 (12)
◆《藤井秀二》 (24)
◆《藤井秀亮》 (2)
◆《藤井秀旭》 (6)
◆《女流飛行機操縦士》 (11)
◆[早稻田大學新聞] (5)
◆[戦前期早稲田大学の台湾人留学生] (2)
◆【全国畳表花莚同業銘鑑. 昭和3年版】 (28)
◆【全国自動車所有者名鑑. 大正4年4月1日現在】 (3)
◆【中仙道繁昌記:一名・各種営業家評判記】 (10)
◆【東京高等師範学校一覧】 (18)
小學師範學科 (11)
中學師範學科 (7)
◆【島根県師範学校一覧】 (8)
◆『国会図書館デジタルコレクション』その他 (728)
[陸軍愛国号献納機] (10)
[報國號飛行機一覧表] (4)
【日本紳士録. 42版(昭和13年)】 (77)
伊藤次郎左衛門 (11)
四方卯三郎 (6)
四元嘉平次・四元義隆の父 (11)
上野與吉 (6)
【日本名勝旧蹟産業写真集】 (3)
【秋田県名鑑】昭和2年 (4)
毎日新聞社 (4)
【最近調査大日本医師名簿】昭和6年 (3)
志賀郷村 (10)
【山陰道商工便覧】 (12)
【第五回内国勧業博覧会】明治36年 (8)
◆北米:晩香坡=バンクーバー (13)
◆【官報】 (21)
帰化允許 (9)
◆【人材・島根:県人名鑑】昭和13年 (3)
◆【在外本邦実業者調. (上卷)】昭和12年 (8)
◆京橋築地 (22)
【水路部沿革史】昭和10年 (9)
◆京都府船井郡 (10)
【忠勇列伝.第1巻】大正6年 (10)
◆中央公論・婦人公論:復刻版 (3)
◆満洲映画協会 (27)
理事長 金壁東 (2)
理事長 甘粕正彦 (17)
林 顕蔵 (6)
理事 姚 任 (2)
◆NHK:日本放送協会 (60)
【ラジオ年鑑. 昭和16年】 (14)
【ラジオ年鑑. 昭和17年】 (10)
【ラジオ年鑑. 昭和18年】 (6)
【ラジオ年鑑. 昭和22年版】 (5)
【ラジオ年鑑. 昭和23年版】 (6)
【支那事変と思想戦】昭和14年 (8)
【大政翼賛大講演会】昭和16年 (4)
【大詔を拝し奉りて】昭和17年 (6)
◆【支那事変実記】讀賣新聞社編輯局 (14)
【支那事変実記. 第1輯】 (11)
◆東京宿毛会 (41)
[東京すくも人]第1号1984年版 (6)
[東京すくも人]第2号1985年版 (10)
◆[日本の右翼] (13)
西山幸輝 (9)
吉村法俊 (4)
◆日本産業民主協会 (6)
◆『国立公文書館・アジア歴史資料センター』 (72)
◆[笠間史料:笠間哲行]昭和14年 (22)
一、第一次警備行軍部隊 (5)
二、派遣部隊行動ノ概要 (10)
三、行軍地方一般ノ狀况 (6)
◆「満洲に関する用兵的観察 第12巻」昭和27年 (3)
◆産業設備営団 (9)
◆【日本映画年鑑. 大正13・4年度】 (8)
◆日本占領関係資料 (35)
【South Korea, General】 (5)
【Communist】 (10)
阿片等:M・R・ニコルソン (15)
[滿洲國の防共協定参加] (4)
◆早竹虎吉 (5)
◆【京都府加佐郡商工人名録】明治45年 (42)
◆藝妓・娼妓・周旋業 (79)
◆[土耳古(トルコ)俘虜解放] (13)
【日本婦徳の鑑:昭和大典記念】昭和6年 (20)
◆閔妃(明成皇后) (10)
アクセスカウンター
今日:
昨日:
累計:
最新コメント
アーカイブ
2026年01月
2025年12月
2025年11月
2025年10月
2025年09月
2025年08月
2025年07月
2025年06月
2025年05月
2025年04月
2025年03月
2025年02月
2025年01月
2024年12月
2024年11月
2024年10月
2024年09月
2024年08月
2024年07月
2024年06月
2024年05月
2024年04月
2024年03月
2024年02月
2024年01月
2023年12月
2023年11月
2023年10月
2023年09月
2023年08月
2023年07月
2023年06月
2023年05月
2023年04月
2023年03月
2023年02月
2023年01月
2022年12月
2022年11月
2022年10月
2022年09月
2022年08月
2022年07月
2022年06月
2022年05月
2022年04月
2022年03月
2022年02月
2022年01月
2021年12月
2021年11月
2021年10月
2021年09月
2021年08月
2021年07月
2021年06月
2021年05月
2021年04月
2021年03月
2021年02月
2021年01月
2020年12月
2020年11月
2020年10月
2020年09月
2020年08月
2020年07月
2020年06月
2020年05月
2020年04月
2020年03月
2020年02月
2020年01月
2019年12月
2019年11月
2019年10月
2019年09月
2019年08月
2019年07月
2019年06月
2019年05月
2019年04月
2019年03月
2019年02月
2019年01月
2018年12月
2018年11月
2018年10月
2018年09月
2018年08月
2018年07月
2018年06月
2018年05月
2018年04月
2018年03月
2018年02月
2018年01月
2017年12月
2017年11月
2017年10月
2017年09月
2017年08月
2017年07月
2017年06月
2017年05月
2017年04月
2017年03月
2017年02月
2017年01月
2016年12月
2016年11月
2016年10月
2016年09月
2016年08月
2016年07月
2016年06月
2016年05月
2016年04月
2016年03月
2016年02月
2016年01月
2015年12月
2015年11月
2015年10月
2015年09月
2015年08月
2015年07月
2015年06月
2015年05月
2015年04月
2015年03月
2015年02月
2015年01月
2014年12月
2014年11月
2014年10月
2014年09月
2014年08月
2014年07月
2014年06月
2014年05月
2014年04月
2014年03月
2014年02月
2014年01月
2013年12月
2013年11月
2013年10月
2013年09月
2013年08月
2013年07月
2013年06月
2013年05月
2013年04月
2013年03月
2013年02月
2013年01月
2012年12月
2012年11月
2012年10月
2012年09月
2012年08月
2012年07月
2012年06月
2012年05月
2012年04月
2012年03月
2012年02月