(9)ハ
鐵兜 壹〇、〇〇〇個
一、從業人員
日本人 八十一名
華 人 壹千貳百名
一、設備機械
第一工場
工作機械 壹八六臺
金屬分析場 壹 式
鑄造工場 壹 式
合 計 壹八八臺
第二工場
工作機械 壹貳五臺
ボイラー 壹 臺
計 壹貳六臺
第三工場 設備
工作機械 九五臺
〔画像〕p125【Pros. Doc. No. 2929】
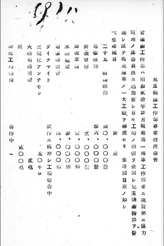
兒玉機關工作部事業概況報告
當機關工作部ハ昭和貳拾年參月
現地第一海軍工作部並ニ施設部ニ協力
現地ノ兵器自活ニ邁進致シ
日々工場ノ擴張ヲ企圖シ
兒玉機關精神ヲ發揚シ以テ
現地海軍ノ一大工廠ヲ構成セリ
生産種目 左ノ如シ
一、生産種目
二十五 機關砲彈 四〇、〇〇〇發
迫撃砲弾 參六、〇〇〇發
對戰車彈 貳、〇〇〇發
對戰車筒 壹、〇〇〇個
水際機雷 參、〇〇〇個
迫撃砲信管 四、〇〇〇個
ダイナマイト 試作ニ成功シ工場建設中
三硫化アンチモン 五〇キロ
火藥用純硝酸 貳屯
釘 貳〇〇屯
壓延工場機械 製作中
〔画像〕p126【Pros. Doc. No. 2929】
【 】『国立国会図書館デジタルコレクション』
タイトル
Pros. Doc. No. 2929:
Records of Business Transactions of
KODAMA, Yukio,
in Connection w/Shanghai Special Service
(文書名:GHQ/SCAP Records,
International Prosecution Section =
連合国最高司令官総司令部国際検察局文書 ;
Entry No.329 Numerical Evidentiary Documents
Assembled as Evidence by the Prosecution
for Use before the IMTFE, 1945-47)
注記
原所蔵機関: 米国国立公文書館 (RG331)
コレクションタイトル:
日本占領関係資料
コレクションタイトル:
General Headquarters/
Supreme Commander for Allied Powers
資料種別 : [マイクロ資料]
原資料の出版事項: ?/?-?/?
◇◇◇◇◇◇◇◇◇◇◇◇◇◇◇◇◇◇◇◇◇◇◇◇◇

