《林 馨:外務省 文書課長》【各庁職員抄録. 昭和21年】
【各庁職員抄録. 昭和21年】
[外務省] p8/64
芝區田村町一丁目
(交換)銀座(57)自五一一〇至五一一九
自五一二一至五一二四
自八一五一至八一五六
大臣(兼) 吉田 茂
麻布、市兵衞、二ノ八九
(赤坂(48)八二一)
政務次官 益谷秀次
品川、北品川四ノ七一八
加藤熊夫方
(大崎(49)二九五九)
次官 寺崎太郎
澁谷、代々木上原、一一七七
(澁谷(46)二二三)
參與官 鹽月 學
世田谷、世田谷二ノ一四三五
塚本淸彦方
(世田谷四二六〇)
秘書官 西山 昭
目黑、柿ノ木坂、五
兼 外務事務官 川俣正直
兼勤
大使官參事官 井上孝治郎
杉並、馬橋四ノ五五一
◉大臣官房
人事課長 事務官 寺岡洪平
澁谷、代々木山谷、一〇二
(淀橋(37)一二八四)
文書課長 事務官 《林 馨》
大森、田園調布二ノ八〇八
(田園調布(02)四三三三)
會計課長 事務官 下田武三
本郷、駒込西片、一〇、イ一〇
(小石川(85)二六六〇)
相談所長 事務官 箕輪三郎
大森、馬込、東二ノ一〇九九
◇◇◇◇◇◇◇◇◇◇◇◇◇◇◇◇◇◇◇◇◇◇◇◇◇
【外務省職員録. 昭和15年10月1日現在】
◎外務本省 p5/24
大 臣 松岡洋右
次官心得 大橋忠一
●在中華民國大使館 p13/24
三等書記官 兼領事(上海) 《林 馨》
●在上海總領事館 p15/24
領事(兼) 大使館 三等書記官 《林 馨》
◇◇◇◇◇◇◇◇◇◇◇◇◇◇◇◇◇◇◇◇◇◇◇◇◇
【第一高等学校一覧. 自大正15年至16年】
◎生徒(大正十五年五月一日現在)(一)高等科 p77/105
文科甲類第一學年二組 第一外國語 英語(四十一) p86/105
東京高師附屬 《林 馨》 東京
【第一高等学校一覧. 昭和4至5年】
◎昭和四年三月(高等科)卒業(三百五十九名) p97/124
文科(甲類)(百七名)
《林 馨》 德島
◇◇◇◇◇◇◇◇◇◇◇◇◇◇◇◇◇◇◇◇◇◇◇◇◇
【東京帝国大学一覧. 昭和5年度】
法学部 法律学科 p243/422
◎昭和四年入学 p245/422
《林 馨》 德島 p247/422
◇◇◇◇◇◇◇◇◇◇◇◇◇◇◇◇◇◇◇◇◇◇◇◇◇
【会員氏名録. 昭和15年用】
《林 馨》 p226/326
本 籍 東京
東京帝國大学 法学部 法律 昭和7年卒業
勤務先 大使館三等書記官 兼 領事 上海在勤
住 所 中華民國 上海 日本大使館内
【会員氏名録. 昭和17年用】
《林 馨》 p224/345
本 籍 東京
東京帝國大学 法学部 法律 昭和7年卒業
勤務先 内閣總力戰研究所 外務事務官
住 所 東京市澁谷區宇田川町二七
【会員氏名録. 昭和18年用】
《林 馨》 p184/259
本 籍 東京
東京帝國大学 法学部 法律 昭和7年卒業
勤務先 情報局第一部企劃課長
住 所 澁谷區宇田川町二七
【 】『国立国会図書館デジタルコレクション』
◇◇◇◇◇◇◇◇◇◇◇◇◇◇◇◇◇◇◇◇◇◇◇◇◇
































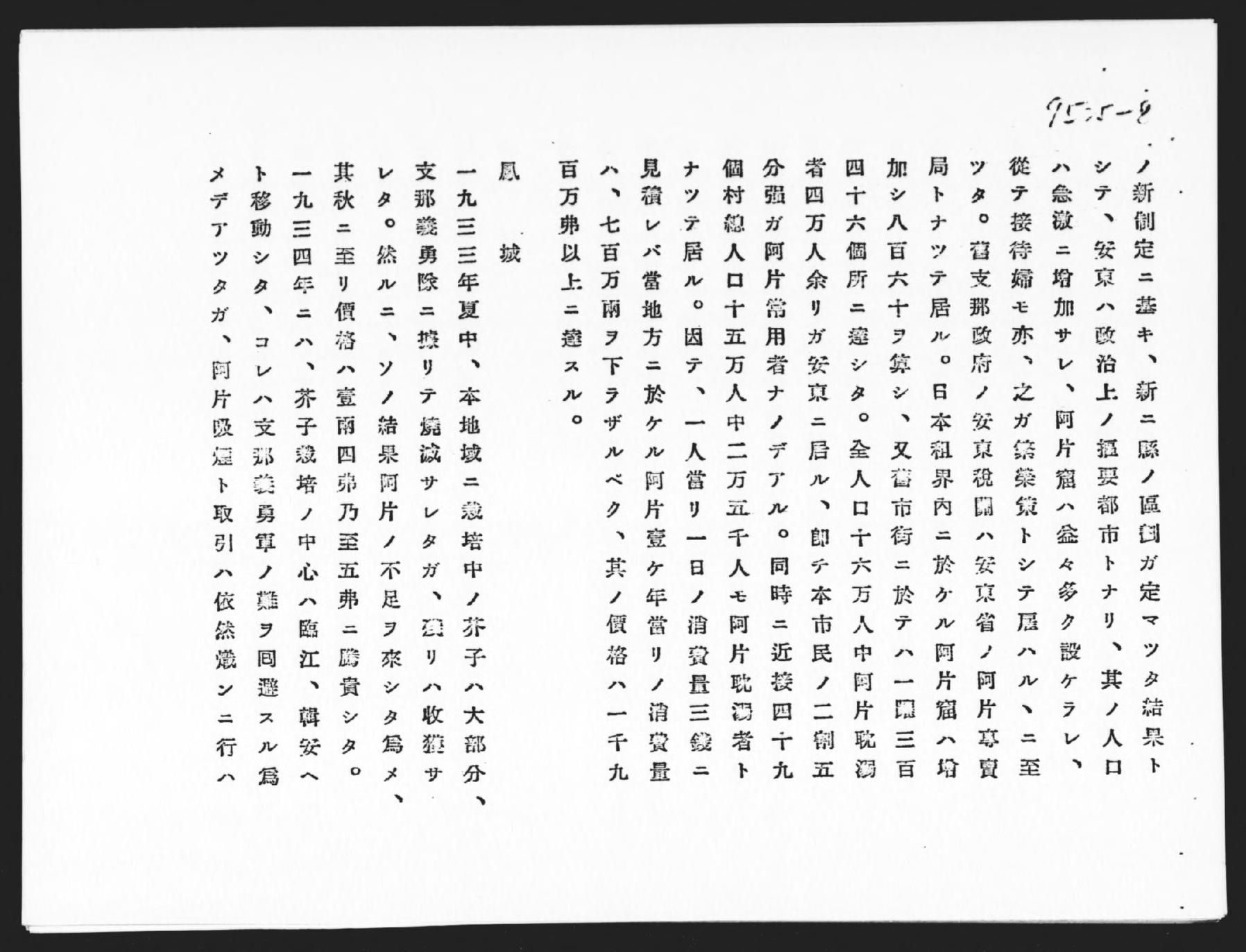
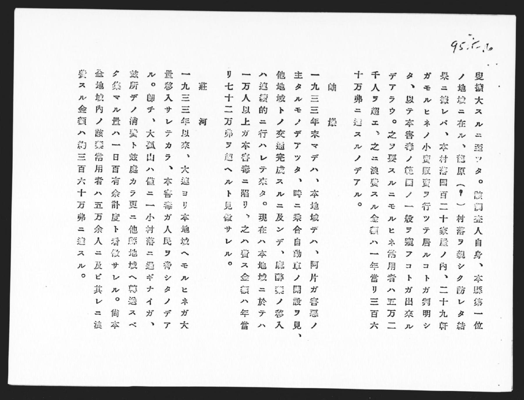
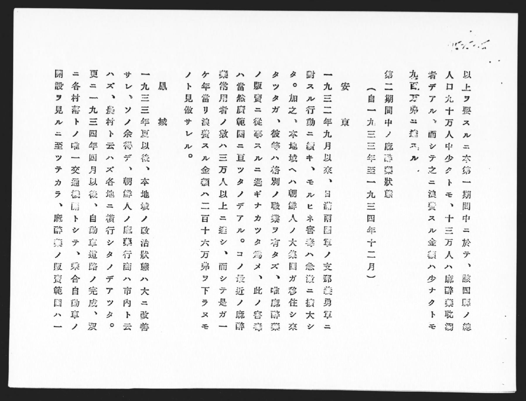
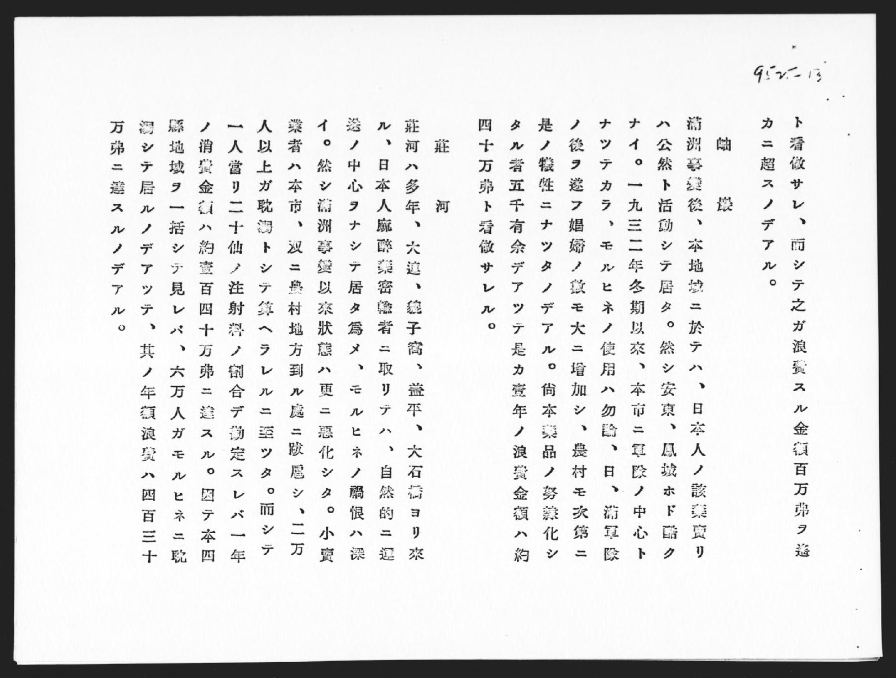
![p1【法廷証第377号:[抜粋]】](https://livedoor.blogimg.jp/kazuo1947/imgs/d/e/de63f058-s.jpg)
![p2【法廷証第377号:[抜粋]】](https://livedoor.blogimg.jp/kazuo1947/imgs/0/d/0dd2b459-s.jpg)
![p3【法廷証第377号:[抜粋]】](https://livedoor.blogimg.jp/kazuo1947/imgs/a/f/af867523-s.jpg)
![p4【法廷証第377号:[抜粋]】](https://livedoor.blogimg.jp/kazuo1947/imgs/c/3/c3a38b0a-s.jpg)
![p5【法廷証第377号:[抜粋]】](https://livedoor.blogimg.jp/kazuo1947/imgs/1/8/18484285-s.jpg)
![p6【法廷証第377号:[抜粋]】](https://livedoor.blogimg.jp/kazuo1947/imgs/1/8/183d3af4-s.jpg)
![p7【法廷証第377号:[抜粋]】](https://livedoor.blogimg.jp/kazuo1947/imgs/9/1/91b7dda2-s.jpg)